PID & PFD
Nous vous accompagnons au quotidien dans vos mises à jour
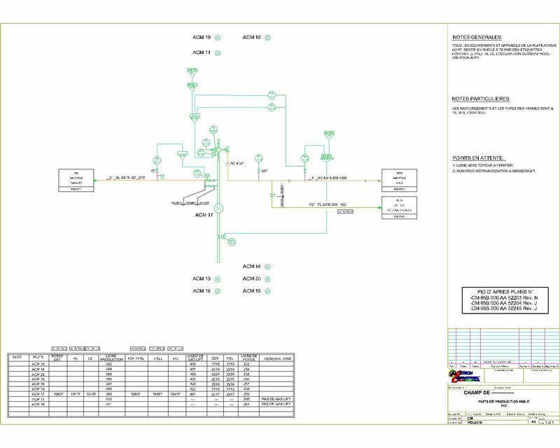
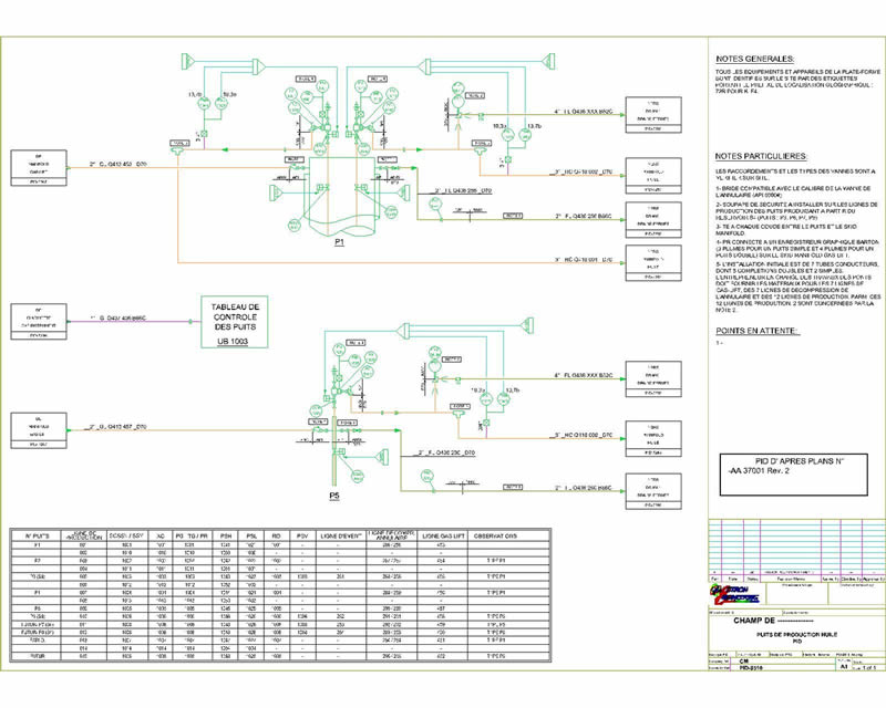
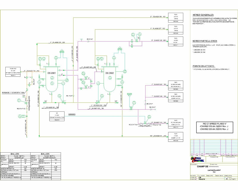
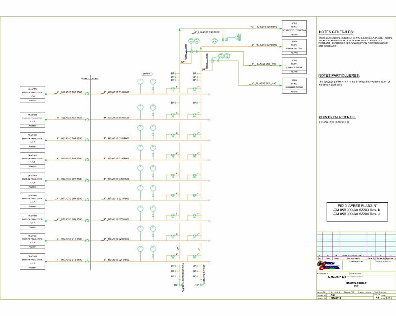
PID: Schémas de tuyauterie et D'instrumentationParmi l'ensemble de la documentation d'un procédé industriel, on devrait retrouver des indications sur l'instrumentation raccordée au procédé.
Ce qui est utile pour la maintenance;
- Ce qui permet de mieux comprendre le procédé pour l'ingénieur de procédé.
Ainsi , Electron Construction vous accompagne au quotidien dans la mise à jour de vos PID chaque fois que le besoin se présente.


